如图所示,先后以速度v1和v2(v1=2v2),匀速地把同一线圈从同一位置拉出有界匀强磁场的过程中,在先后两种情况下,
如图所示,先后以速度v1和v2(v1=2v2),匀速地把同一线圈从同一位置拉出有界匀强磁场的过程中,在先后两种情况下,

(1)线圈中的电量之比为:______________
(2)线圈产生的热量之比为________________
【答案】1:1 2:1
【解析】(1)根据E=BLv和闭合电路欧姆定律,得感应电流:
,可知感应电流 I∝v,所以感应电流之比I1:I2=2:1。
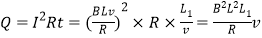
(2)由焦耳定律得线圈产生的热量:
,可知Q∝v,则热量之比为2:1.
版权声明
声明:有的资源均来自网络转载,版权归原作者所有,如有侵犯到您的权益
请联系本站我们将配合处理!
上一篇 : 关于电磁波,下列说法不正确的是( )
下一篇 :返回列表
