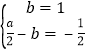
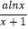
已知函数f(x)=<img alt="1" src="/tk/20210512/1620750799154.png"/>+<img alt=&
已知函数f(x)=
+
, 曲线y=f(x)在点(1,f(1))处的切线方程为x+2y﹣3=0.求a、b的值;
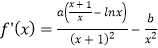
解:
.
由于直线x+2y﹣3=0的斜率为﹣
,且过点(1,1)
所以
解得a=1,b=1
【解析】据切点在切线上,求出切点坐标;求出导函数;利用导函数在切点处的值为切线的斜率及切点在曲线上,列出方程组,求出a,b的值.
版权声明
声明:有的资源均来自网络转载,版权归原作者所有,如有侵犯到您的权益
请联系本站我们将配合处理!
下一篇 :返回列表
