某同学对实验室的一个多用电表中的电池进行更换时,发现里面除了一节1.5 V的干电池外,还有一个方形的层叠电池.为了测定层叠电池的电动势和内阻,实验室中提供了如下器材:
某同学对实验室的一个多用电表中的电池进行更换时,发现里面除了一节1.5 V的干电池外,还有一个方形的层叠电池.为了测定层叠电池的电动势和内阻,实验室中提供了如下器材:

A.电流表A1(满偏电流10 mA,内阻10 Ω)
B.电流表A2(0~0.6 A~3 A,内阻未知)
C.滑动变阻器R0(0~100 Ω,1.0 A)
D.定值电阻R(阻值990 Ω)
E.开关S与导线若干

(1)该同学根据现有的实验器材,设计了合理的电路.请你在右上侧的方框内画出相应的电路图______.
(2)该同学根据上述设计的实验电路测出多组数据,绘出如下图所示的I1-I2图线(I1为电流表A1的示数,I2为电流表A2的示数),则由图线可以得到被测电池的电动势E=________V,内阻r=________Ω.(保留两位有效数字)
【答案】
8.8~9.2 10
(1)电流表A1和定值电阻R串联组成代替电压表,故电路图如图所示;

(2)表头的示数与定值电阻阻值的乘积可作为路端电压处理,则由闭合电路欧姆定律可知:I1(R+RA)=E-I2r
即:
;
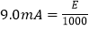
由图可知,图象与纵坐标的交点为9.0mA,
则有:
;
解得E=9.0V;
由图象可知,图象的斜率为:10×10-3,由公式得图象的斜率等于
,
故
;
解得r=10Ω.
版权声明
声明:有的资源均来自网络转载,版权归原作者所有,如有侵犯到您的权益
请联系本站我们将配合处理!
