设m个正数a1 , a2 , …,am(m≥4,m∈N*)依次围成一个圆圈.其中a1 , a2 , a3 , …,ak﹣1 , ak(k<m,k∈N*)是公差为d的等差数列,而a1 , am , am
设m个正数a1 , a2 , …,am(m≥4,m∈N*)依次围成一个圆圈.其中a1 , a2 , a3 , …,ak﹣1 , ak(k<m,k∈N*)是公差为d的等差数列,而a1 , am , am﹣1 , …,ak+1 , ak是公比为q的等比数列.
(1)若a1=d=1,q=2,k=8,求数列a1 , a2 , …,am的所有项的和Sm;
(2)若a1=d=q=3,m<2015,求m的最大值;
(3)当q=2时是否存在正整数k,满足a1+a2+…+ak﹣1+ak=3(ak+1+ak+2+…+am﹣1+am)?若存在,求出k值;若不存在,请说明理由.
【答案】解:(1)由题意可得:ak=8,因此数列a1 , a2 , …,am为1,2,3,4,5,6,7,8,4,2共10个数,此时m=10,Sm=42.
(2)∵a1 , a2 , a3 , …,ak﹣1 , ak(k<m,k∈N*)是首项为3,公差为3的等差数列,
∴ak=3k.
而a1 , am , am﹣1 , …,ak+1 , ak是公比为q的等比数列,
∴ak=3m+2﹣k , 因此3k=3m+2﹣k ,
∴k•3k=3m+1 ,
要使m最大,则k必须最大.
又k<m<2015,故k的最大值为 36 , 可得36•3729=3m+1 , 解得m的最大值是734.
(3)由a1 , a2 , a3 , …,ak﹣1 , ak(k<m,k∈N*)是公差为d的等差数列,可得ak=a1+(k﹣1)d.
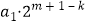
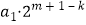
而a1 , am , am﹣1 , …,ak+1 , ak是公比为2的等比数列,∴ak=
.
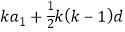
故a1+(k﹣1)d=,∴(k﹣1)d=a1(2m+1﹣k﹣1).
又a1+a2+…+ak﹣1+ak=3(ak+1+ak+2+…+am﹣1+am),am=2a1 ,
∴
=3×2a1×
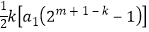
,则ka1+
=6(2m﹣k﹣1),
则
+
k=6(2m﹣k﹣1),即k•2m+1﹣k+k=6×2m+1﹣k﹣12,
k≠6,则2m+1﹣k=
=﹣1+
,∴k<6,
代入验证可得:当k=4时,上式等式成立,此时m=6.综上可得:当且仅当m=6时,存在k=4满足等式.
【解析】(1)由题意可得:ak=8,因此数列a1 , a2 , …,am为1,2,3,4,5,6,7,8,4,2共10个数,即可得出.
(2)由于a1 , a2 , a3 , …,ak﹣1 , ak(k<m,k∈N*)是首项为3,公差为3的等差数列,可得ak=3k.而a1 , am , am﹣1 , …,ak+1 , ak是公比为q的等比数列,可得ak=3m+2﹣k , 因此3k=3m+2﹣k , 要使m最大,则k必须最大.又k<m<2015,即可得出;
(3)由a1 , a2 , a3 , …,ak﹣1 , ak(k<m,k∈N*)是公差为d的等差数列,可得ak=a1+(k﹣1)d.而a1 , am , am﹣1 , …,ak+1 , ak是公比为2的等比数列,可得ak=
. 故a1+(k﹣1)d=
, (k﹣1)d=a1(2m+1﹣k﹣1).又a1+a2+…+ak﹣1+ak=3(ak+1+ak+2+…+am﹣1+am),am=2a1 , 化简整理即可得出.
【考点精析】根据题目的已知条件,利用等比数列的通项公式(及其变式)和等比关系的确定的相关知识可以得到问题的答案,需要掌握通项公式:
;等比数列可以通过定义法、中项法、通项公式法、前n项和法进行判断.
版权声明
声明:有的资源均来自网络转载,版权归原作者所有,如有侵犯到您的权益
请联系本站我们将配合处理!
