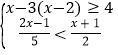
解不等式组:<img alt="1" src="/tk/20210512/1620768521625.png"/>.
解不等式组:
.

分析:分别求出每一个不等式的解,从而得出不等式组的解.
详解:解:解不等式①得:
, 解不等式②得:
,
∴不等式组的解为:
.
版权声明
声明:有的资源均来自网络转载,版权归原作者所有,如有侵犯到您的权益
请联系本站我们将配合处理!
解不等式组:
.

分析:分别求出每一个不等式的解,从而得出不等式组的解.
详解:解:解不等式①得:
, 解不等式②得:
,
∴不等式组的解为:
.
声明:有的资源均来自网络转载,版权归原作者所有,如有侵犯到您的权益
请联系本站我们将配合处理!