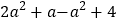
已知:<img alt="1" src="/tk/20210512/1620768731588.png"/>,则代数式<img alt=&qu
已知:
,则代数式
的值是______.
8
【解析】先将所求式子化简,然后将a2+a=4整体代入计算即可求答案.
,
=
,
=
,
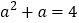
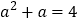
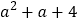
∵
,
∴原式=4+4=8.
故答案为:8.
版权声明
声明:有的资源均来自网络转载,版权归原作者所有,如有侵犯到您的权益
请联系本站我们将配合处理!
已知:
,则代数式
的值是______.
8
【解析】先将所求式子化简,然后将a2+a=4整体代入计算即可求答案.
,
=
,
=
,
∵
,
∴原式=4+4=8.
故答案为:8.
声明:有的资源均来自网络转载,版权归原作者所有,如有侵犯到您的权益
请联系本站我们将配合处理!