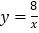
图象经过点<img alt="1" src="/tk/20210512/1620768619812.png"/>的反比例函数的解析式为_______
图象经过点
的反比例函数的解析式为_________________.

设反比例函数的解析式为:
把点
代入,得
解得:
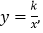
反比例函数的解析式为:
故答案为:
版权声明
声明:有的资源均来自网络转载,版权归原作者所有,如有侵犯到您的权益
请联系本站我们将配合处理!
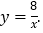
图象经过点
的反比例函数的解析式为_________________.

设反比例函数的解析式为:
把点
代入,得
解得:
反比例函数的解析式为:
故答案为:
声明:有的资源均来自网络转载,版权归原作者所有,如有侵犯到您的权益
请联系本站我们将配合处理!