解方程:
(1)
;
(2)
(用配方法);
(3) 
(4) 
(1)
; (2)
;(3)
;(4)
.
(1)移项后两边开方,求出方程的解即可;
(2)把常数项1移项后,应该在左右两边同时加上一次项系数-5的一半的平方;
(3)利用配方法解方程;
(4)设t=x-2,原方程转化为9t2-6t+1=0,通过解该方程求得t的值;然后代入来求x的值.
解:(1)(x−5)2−9=0,
(x−5)2=9,
x−5=±3,
x1=8,x2=2;
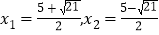
(2)x2−5x+1=0,
x2−5x=−1
x2−5x+
=−1+
,
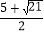
(x−
)2=
x1=
,x2=
;
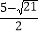
(3)3y2−1=6y,
y2−2y+1=
+1,
(y−1)2=
,
y−1=±
,
y1=
,y2=
;
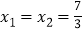
(4)设t=x−2,原方程转化为9t2−6t+1=0,
整理,得
(3t−1)2=0,
解得t=
,
所以x−2=
,
则x1=x2=
.
版权声明
声明:有的资源均来自网络转载,版权归原作者所有,如有侵犯到您的权益
请联系本站我们将配合处理!
