首页
平时作业资料
复习资料
强国党史
答案大全
其他参考答案
网络新词
全站搜索
计算:.
所属学校:
学历教育
科目:
初中数学
2024-07-07 10:38:03
初中数学
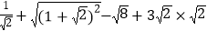
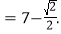
计算:
.
【答案】
【解析】
根据二次根式的运算顺序进行运算即可.
原式
版权声明
声明:
有的资源均来自网络转载,版权归原作者所有,如有侵犯到您的权益 请联系本站我们将配合处理!
上一篇 :
化简与计算:
下一篇 :
返回列表
分享:
相关文章
计算:.
07-07
化简与计算:
07-07
某工厂计划生产1800吨纯净水支援云
07-07
如图,在矩形ABCD中,点E在边AD上,将此
07-07
下列各式中,从左到右的变形是因式分
07-07
代数式的值不小于的值,则a应满足( )
07-07
平面直角坐标系中A(1,7)关于x轴对称
07-07
定义:任意两个数,按规则扩充得到一个
07-07
在下列四个图案中,是轴对称图形的是
07-07
计算:=____________.
07-07
最近发表
计算:.
化简与计算:
某工厂计划生产1800吨纯净水支援云
如图,在矩形ABCD中,点E在边AD上,将此
下列各式中,从左到右的变形是因式分
代数式的值不小于的值,则a应满足( )
平面直角坐标系中A(1,7)关于x轴对称
定义:任意两个数,按规则扩充得到一个
在下列四个图案中,是轴对称图形的是
计算:=____________.
热门信息
毛泽东最好的十首诗词 最出名的一
国开毛泽东思想和中国特色社会主义
毛泽东思想和中国特色社会主义理论
毛泽东思想和中国特色社会主义理论
毛泽东思想和中国特色社会主义理论
红星照耀中国读书笔记每一章摘抄
毛泽东思想和中国特色社会主义理论
国开电大答案新时代中国特色社会主
毛泽东思想和中国特色社会主义理论
毛泽东最好的十首诗词有哪些
标签列表
作业
在线
远程教育
知识竞赛
题库
答案
什么意思
知识库
大工
数学知识点
机考
语文知识点
单元
题目
物理知识点
网络新词
化学知识点
知到智慧树
北京
东财
超星尔雅学习通
什么梗
离线
生物知识点