甲是利用激光测转速的原理示意图,图中圆盘可绕固定轴转动,盘边缘侧面上有一小段涂有很薄的反光材料。当盘转到某一位置时,接收器可以接收到反光涂层所反射的激光束,并将所收到的光信号转变成电信号,在示波器显示
甲是利用激光测转速的原理示意图,图中圆盘可绕固定轴转动,盘边缘侧面上有一小段涂有很薄的反光材料。当盘转到某一位置时,接收器可以接收到反光涂层所反射的激光束,并将所收到的光信号转变成电信号,在示波器显示屏上显示出来(如图乙所示)若图乙中示波器显示屏横向的每大格(5小格)对应的时间为5.00×10-2s,则圆盘的转速为_______转/s。(保留3位有效数字)
.
4.55
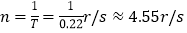
【解析】从图乙显示圆盘转动一周在横轴上显示22格,由题意知道,每格表示1.00×10-2s,所以圆盘转动的周期为0.22秒,转速为
.
版权声明
声明:有的资源均来自网络转载,版权归原作者所有,如有侵犯到您的权益
请联系本站我们将配合处理!
