据说以前有个商人,从荷兰把5000t的货物运往非洲靠近赤道的某个港口,发现货物少了19t,在荷兰和非洲,都是用托盘弹簧秤来称量货物的。试说明货物产生重量差的原因,并根据这两地的重力加速度的值计算是否会
据说以前有个商人,从荷兰把5000t的货物运往非洲靠近赤道的某个港口,发现货物少了19t,在荷兰和非洲,都是用托盘弹簧秤来称量货物的。试说明货物产生重量差的原因,并根据这两地的重力加速度的值计算是否会差这么多。荷兰的重力加速度约为9.816m/s2,非洲的重力加速度约为9.780m/s2。
【答案】会
【解析】在地球同一地点,重力加速度相同,在地球不同地点,重力加速度不一定相同。重力加速度与纬度和高度有关。弹簧秤称的是重力,而不是质量,由于这两地纬度不同,导致所称的重力不同。
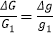
由于G=mg,所以
,则
,计算结果与19t非常接近。
版权声明
声明:有的资源均来自网络转载,版权归原作者所有,如有侵犯到您的权益
请联系本站我们将配合处理!
