解下列不等式:
(1)4(x-1)>5x-6;
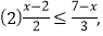
(2)(2017·淄博中考)
;
(3)10-
≥9+
.
(1)x<2.(2)x≤4.(3)x≤
按照一元一次不等式的解题步骤解不等式即可.











(3)





版权声明
声明:有的资源均来自网络转载,版权归原作者所有,如有侵犯到您的权益
请联系本站我们将配合处理!
上一篇 : 计算:107°43′÷5+23°53′×3.
下一篇 :返回列表
解下列不等式:
(1)4(x-1)>5x-6;
(2)(2017·淄博中考)
;
(3)10-
≥9+
.
(1)x<2.(2)x≤4.(3)x≤
按照一元一次不等式的解题步骤解不等式即可.











(3)





声明:有的资源均来自网络转载,版权归原作者所有,如有侵犯到您的权益
请联系本站我们将配合处理!