能说明“若f(x)>f(0)对任意的x∈(0,2]都成立,则f(x)在[0,2]上是增函数”为假命题的一个函数是__________.
能说明“若f(x)>f(0)对任意的x∈(0,2]都成立,则f(x)在[0,2]上是增函数”为假命题的一个函数是__________.
【答案】y=sinx(答案不唯一)
【解析】分析:举的反例要否定增函数,可以取一个分段函数,使得f(x)>f(0)且(0,2]上是减函数.
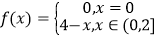
详解:令
,则f(x)>f(0)对任意的x∈(0,2]都成立,但f(x)在[0,2]上不是增函数.
又如,令f(x)=sinx,则f(0)=0,f(x)>f(0)对任意的x∈(0,2]都成立,但f(x)在[0,2]上不是增函数.
版权声明
声明:有的资源均来自网络转载,版权归原作者所有,如有侵犯到您的权益
请联系本站我们将配合处理!
上一篇 : 关于法律和道德的关系,下列说法中正确的是( )。
下一篇 :返回列表
