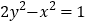
双曲线<img alt="1" src="/tk/20210511/1620742667353.png"/>的一个顶点坐标是( )
双曲线
的一个顶点坐标是( )
A. ( 2,0) B. ( -
,0) C. (0,
) D. (0 ,
)
D
【解析】先将双曲线方程化为标准方程,即可得到顶点坐标.
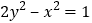
双曲线
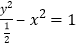
化为标准方程为:
,∴
=
,且实轴在y轴上,
∴顶点坐标是(
),故选D.
版权声明
声明:有的资源均来自网络转载,版权归原作者所有,如有侵犯到您的权益
请联系本站我们将配合处理!
上一篇 : 全宗指南是( )检索工具。
下一篇 :返回列表
