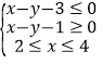
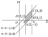
若1≤log2(x-y+1)≤2,|x-3|≤1,则x-2y的最大值与最小值之和是( )
A. 0 B. -2 C. 2 D. 6
【答案】C
【解析】1≤log2(x-y+1)≤2,|x-3|≤1,
即变量x,y满足约束条件
即

作出不等式组表示的可行域如图中阴影部分所示,可得x-2y在A(2,-1),C(4,3)处取得最大值、最小值分别为4,-2,其和为2.故选C.
版权声明
声明:有的资源均来自网络转载,版权归原作者所有,如有侵犯到您的权益
请联系本站我们将配合处理!
上一篇 : 已知集合,集合,则( )
下一篇 :返回列表
