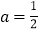
若a≥1,直角三角形三边分别为2a,a+3,<img alt="1" src="/tk/20210512/1620771925240.png"/>a
若a≥1,直角三角形三边分别为2a,a+3,
a+
,则该三角形的面积为( )
A.
B. 4 C. 2
D. 8
B
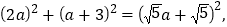
【解析】①
解得:
三边长分别为:

②
解得:
或
不合题意.
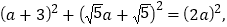
③
解得:
或
不合题意.
故选B.
版权声明
声明:有的资源均来自网络转载,版权归原作者所有,如有侵犯到您的权益
请联系本站我们将配合处理!
