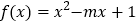
若函数<img alt="1" src="/tk/20210512/1620752180465.png"/>在<img alt="2
若函数
在
上单调递减,则
的最小值为__________.
2
【解析】二次函数单调递减,满足对称轴大于等于1即可。
二次函数在
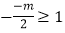
上单调递减,则对称轴大于等于1,即
所以
所以m的最小值为2
版权声明
声明:有的资源均来自网络转载,版权归原作者所有,如有侵犯到您的权益
请联系本站我们将配合处理!
若函数
在
上单调递减,则
的最小值为__________.
2
【解析】二次函数单调递减,满足对称轴大于等于1即可。
二次函数在
上单调递减,则对称轴大于等于1,即
所以
所以m的最小值为2
声明:有的资源均来自网络转载,版权归原作者所有,如有侵犯到您的权益
请联系本站我们将配合处理!