若实数<img alt="1" src="/tk/20210511/1620742473974.png"/>,<img alt="2
若实数
,
满足不等式组
则
的取值范围是()
A.
B.
C.
D. 
A
【解析】由约束条件作出可行域,化目标函数为直线方程的斜截式,数形结合得到取值范围即可.
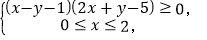
作出不等式的可行域,如图所示:

由
,即
.平移此直线经过点A(0,5)时,z取得最小值-5,经过点B(2,1)时,z有最大值3,所以
的取值范围是
.
故选A.
版权声明
声明:有的资源均来自网络转载,版权归原作者所有,如有侵犯到您的权益
请联系本站我们将配合处理!
