如图,AD∥DE,点C在BE上,AC平分∠DAB,若AC=2,AB=4,则△ABC的面积为( )

A. 3 B.
C. 4 D. 
B
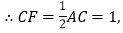
【解析】过点
作
于

AC平分∠DAB,

AD∥DE,


是等腰三角形,



故选B.
版权声明
声明:有的资源均来自网络转载,版权归原作者所有,如有侵犯到您的权益
请联系本站我们将配合处理!
如图,AD∥DE,点C在BE上,AC平分∠DAB,若AC=2,AB=4,则△ABC的面积为( )

A. 3 B.
C. 4 D. 
B
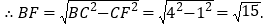
【解析】过点
作
于

AC平分∠DAB,

AD∥DE,


是等腰三角形,



故选B.
声明:有的资源均来自网络转载,版权归原作者所有,如有侵犯到您的权益
请联系本站我们将配合处理!