如图,倾角为θ=37°的足够长的斜面上,有一质量为M=1.0kg,长为L=2.55m的薄板A。薄板A由两种不同材料拼接而成,其上表面以ab为分界线,其中ab以上部分光滑,长度为L1=0.75m,下表面
如图,倾角为θ=37°的足够长的斜面上,有一质量为M=1.0kg,长为L=2.55m的薄板A。薄板A由两种不同材料拼接而成,其上表面以ab为分界线,其中ab以上部分光滑,长度为L1=0.75m,下表面与斜面间的动摩擦因数μ1=0.4。在薄板A的上表面上端放一质量m=1.0kg的小物块B(可视为质点)。同时将A、B由静止释放,已知B与A的上表面ab以下部分的动摩擦因数μ2=0.25,B与斜面间的动摩擦因数μ3=0.5,认为滑动摩擦力与最大静摩擦力大小相等.物块B从薄板A上滑到斜面上时速度不变。取g=10m/s2,sin37°=0.6。求:

(1)B从开始滑动到刚经过ab时所用的时间;
(2)B在A上滑动的总时间;
(3)从A、B分离到A在斜面上追上B所用的时间。
【答案】(1)t1=0.5s (2)t=1s (3)t3=10.5s
【解析】(1)对物块B:设刚释放时其加速度为a1.
mgsinθ=m a1
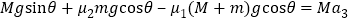
对木板A:Mgsinθ<μ1(m+M)gcosθ
这说明B在A的光滑部分滑动时,A保持静止.
设B刚离开A的光滑部分时速度为v1:v12=2a1L1
解得:v 1=3m/s
B在A的光滑部分滑动的时间为t 1:v1=a1t1
解得:t1=0.5s
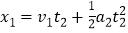
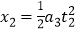
(2)B在A的粗糙部分滑动时,设B的加速度为a2,A的加速度为a3,该过程所用的时间为t2,B的位移为x1,A的位移为x2.


解得:
=4m/s2,
=1.6m/s2



解得:t2=0.5s
B在A上滑动的总时间为t:t=t1+t2=1s
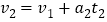
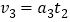
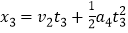
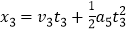
(3)设B离开薄板A时,B和薄板A的速度分别为v2和v3.


解得:
m/s
m/s
B滑到斜面上后,设B的加速度为a4,A的加速度为a5.


解得:a4=2m/s2,a5=2.8m/s2
设B滑到斜面上后到A、B再次相遇所用的时间为t3,所运动的位移为x3.


解得:t3=10.5s
版权声明
声明:有的资源均来自网络转载,版权归原作者所有,如有侵犯到您的权益
请联系本站我们将配合处理!
