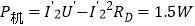
如图所示,电阻R1=8Ω,电动机绕组电阻R0=2Ω,当电键K断开时,电阻R1消耗的电功率是2.88W;当电键闭合时,电阻R1消耗的电功率是2W,若电源的电动势为6V。求:电键闭合时,电动机输出的机械功
如图所示,电阻R1=8Ω,电动机绕组电阻R0=2Ω,当电键K断开时,电阻R1消耗的电功率是2.88W;当电键闭合时,电阻R1消耗的电功率是2W,若电源的电动势为6V。求:电键闭合时,电动机输出的机械功率。

1.5W
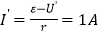
【解析】K断开时,电流
电源内阻
K闭合时,路端电压
电流
总电流
通过电动机的电流
电动机的机械功率
考点:闭合电路的欧姆定律;电功率
版权声明
声明:有的资源均来自网络转载,版权归原作者所有,如有侵犯到您的权益
请联系本站我们将配合处理!
