如图所示,甲、乙两人各乘一辆冰车在山坡前的水平冰道上游戏,甲和他冰车的总质量m1=40kg,从山坡上自由下滑到水平直冰道上的速度v1=3m/s,乙和他的冰车的质量m2=60kg,以大小为v2=0.5m
如图所示,甲、乙两人各乘一辆冰车在山坡前的水平冰道上游戏,甲和他冰车的总质量m1=40kg,从山坡上自由下滑到水平直冰道上的速度v1=3m/s,乙和他的冰车的质量m2=60kg,以大小为v2=0.5m/s的速度迎面滑来.若不计一切摩擦,为使两车不再相撞,试求甲的推力对乙做功的数值范围?

16.8J≤W≤600J
【解析】取向右方向为正,
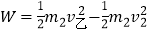
,对乙由动能定理得:
当
时,甲对乙做的功最少
当
时,甲对乙做的功最多
甲对乙做功的数值范围为
。
版权声明
声明:有的资源均来自网络转载,版权归原作者所有,如有侵犯到您的权益
请联系本站我们将配合处理!
