如图所示,某物块(可看成质点)质量为m=0.1kg从A点沿竖直光滑的 圆弧轨道,由静止开始滑下,圆弧轨道的半径R=0.2m,末端B点与水平传送带相切,物块由B点滑上粗糙的传送带.传送带BC之间长度L
如图所示,某物块(可看成质点)质量为m=0.1kg从A点沿竖直光滑的
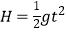
圆弧轨道,由静止开始滑下,圆弧轨道的半径R=0.2m,末端B点与水平传送带相切,物块由B点滑上粗糙的传送带.传送带BC之间长度L=1.5m,若传送带静止,物块滑到传送带的末端C点后做平抛运动,落到水平地面上的D点,已知C点到地面的高度H=5m,C点到D点的水平距离为x1=1m,g=10m/s2 . 求:

(1)物块滑到B点时对圆轨道末端的压力.
(2)物块滑到C点时速度的大小;
(3)若传送带以v0=2.5m/s的速度沿顺时针方向运行,求物体与传送带间摩擦生热Q.
【答案】(1)
解:从A点到B点,由动能定理可得:
mgR=
﹣0,
vB=
=
=2m/s
物体在B点:F﹣mg=m
,
解得:F=3N
由牛顿第三定律可得:物块对B点的压力 F′=F=3N;方向竖直向下
(2)
解:物块离开C点后做平抛运动,则有:
x1=vt

联立解得物块滑到C点时速度的大小 v=1m/s
(3)
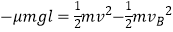
解:由动能定理得:
,
解得 μ=0.1
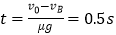
若传送带以v0=2.5m/s的速度沿顺时针方向运行,有: 
可得:
大于2.5m/s
故物块到达C之前与传送带共速,匀加速运动的时间为: 
此过程传送带的位移:x=v0t=1.25m
物体的位移为:x′=
=
0.5m=1.125m
物体与传送带间摩擦生热:Q=μmg(x﹣x′)=0.0125J
【解析】(1)根据动能定理求出物块到B点时的速度,结合牛顿第二定律求出支持力的大小,从而得出物块对轨道的压力大小.(2)物块离开C点后做平抛运动,根据平抛运动分位移的规律求解C点的速度.(3)先根据速度位移关系公式分析物块与传送带共速时所用的时间,分别求出物块与传送带的位移,得到相对位移,从而求出热量.
【考点精析】解答此题的关键在于理解平抛运动的相关知识,掌握特点:①具有水平方向的初速度;②只受重力作用,是加速度为重力加速度g的匀变速曲线运动;运动规律:平抛运动可以分解为水平方向的匀速直线运动和竖直方向的自由落体运动,以及对向心力的理解,了解向心力总是指向圆心,产生向心加速度,向心力只改变线速度的方向,不改变速度的大小;向心力是根据力的效果命名的.在分析做圆周运动的质点受力情况时,千万不可在物体受力之外再添加一个向心力.
版权声明
声明:有的资源均来自网络转载,版权归原作者所有,如有侵犯到您的权益
请联系本站我们将配合处理!
