如图所示,一个电量为+Q的点电荷甲,固定在绝缘水平面上的O点,另一个电量为﹣q、质量为m的点电荷乙从A点以初速度<img alt="1" src="/tk/2021
如图所示,一个电量为+Q的点电荷甲,固定在绝缘水平面上的O点,另一个电量为﹣q、质量为m的点电荷乙从A点以初速度
.沿它们的连线向甲运动,到B点时速度最小且为v.已知静电力常量为k,点电荷乙与水平面的动摩擦因数为μ,A、B间距离为L,则以下说法不正确的是( )

A. O、B间的距离为
B. 从A到B的过程中,两电荷的电势能一直减少
C. 在点电荷甲形成的电场中,AB间电势差
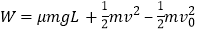
D. 从A到B的过程中,电场力对点电荷乙做的功为
C
【解析】本题首先要正确分析物体受力特点,明确力和运动的关系,在本题中注意滑动摩擦力的大小方向不变,两球靠近过程中库仑力逐渐增大,小球先减速后加速,根据牛顿第二定律和功能关系可正确解答.
由题意,乙到达B点时速度最小,乙先减速运动后做加速运动,当速度最小时有
,解得OB间的距离为
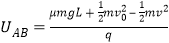
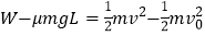
,A正确;从A到B的过程中,电场力对乙做正功,系统的电势能减少,B正确;从A到B的过程中,根据动能定理得
得
,AB之间的电势差为
,C错误D正确.
版权声明
声明:有的资源均来自网络转载,版权归原作者所有,如有侵犯到您的权益
请联系本站我们将配合处理!
