如图所示,在绝缘的光滑水平面上有A、B两个点电荷, A带正电,B带负电,电量都是q,它们之间的距离为d。为使两电荷在电场力作用下都处于静止状态,必须在水平方向加一个匀强电场.当两电荷都处于静止状态时,
如图所示,在绝缘的光滑水平面上有A、B两个点电荷, A带正电,B带负电,电量都是q,它们之间的距离为d。为使两电荷在电场力作用下都处于静止状态,必须在水平方向加一个匀强电场.当两电荷都处于静止状态时,(已知静电力常量为k)求:

(1)匀强电场的电场强度;
(2)AB连线的中点处的电场强度。
【答案】(1)
(2)
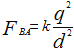
(1)B对A的库仑力:
,A电荷保持静止状态有:
,解得匀强电场的场强
,方向水平向左。
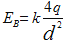
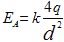
(2)A电荷在中点处产生的场强
,方向水平向右,B电荷在中点处产生的场强
,方向水平向右,故连线中点处的场强
,场强方向水平向右。
版权声明
声明:有的资源均来自网络转载,版权归原作者所有,如有侵犯到您的权益
请联系本站我们将配合处理!
