如图所示,在平直的公路上一辆长途客车正在以 v0 =21m/s 的速度匀速直线行驶, 突然, 司机看见车的正前方△s=50m 处有一只小狗站立在路中央,司机立即采取制动措施,司机从看 见小狗到长途客车
如图所示,在平直的公路上一辆长途客车正在以 v0 =21m/s 的速度匀速直线行驶, 突然, 司机看见车的正前方△s=50m 处有一只小狗站立在路中央,司机立即采取制动措施,司机从看 见小狗到长途客车开始做匀减速直线运动的时间间隔 t0=0.6s,制动后长途客车匀减速的加速 度大小为 5 m/s2 ;司机看见小狗时,小狗同时由静止开始沿汽车同方向做匀加速直线运动, 加速度大小为 1m/s2 。
求:(1)从司机看见小狗开始计时,3s 末长途客车速度的大小;
(2)从司机看见小狗开始计时到 5 秒末,长途客车前进的距离;
(3)判断小狗是否安全(写出判断的根据)。

(1)9m/s;(2)56.7m;(3)小狗是安全的。
【解析】(1)从司机看见小狗到3s末长途客车的速度的大小

(2)长途客车减速到0, 有
,经过5s长途客车已停。
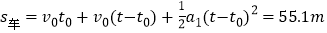
长途客车匀速运动位移
长途客车匀减速运动位移
长途客车前进的距离
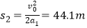
(3)司机从看见小狗到车与小狗同速历时为t,得

得
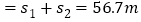
车位移
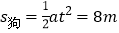
小狗位移

由于
,所以小狗是安全的。
版权声明
声明:有的资源均来自网络转载,版权归原作者所有,如有侵犯到您的权益
请联系本站我们将配合处理!
上一篇 : 平衡状态是指液体质点之间没有( )运动的状态。
下一篇 :返回列表
