如图,已知⊙
的半径长为
,
、
是⊙
的两条弦,且
=
,
的延长线交
于点
,联结
、
.
(1)求证:
∽
;
(2)记
、
、
的面积分别为
、
、
,若
,求
的长.

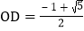
(1)证明见解析;(2)
.
分析:(1)、由△AOB≌△AOC,推出∠C=∠B,由OA=OC,推出∠OAC=∠C=∠B,由∠ADO=∠ADB,即可证明△OAD∽△ABD;(2)、作OH⊥AC于H,设OD=x.用含x的代数式表示AD、AB、CD,再证明AD2=AC•CD,列出方程即可解决问题;
详解:(1)、证明:在
和
中,
,∴
≌
,
∴∠C=∠B,∵OA=OC,∴∠OAC=∠C=∠B∵∠ADO=∠ADB ∴
∽
;
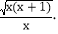
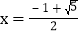
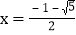
(2)、如图(12)中,作OH⊥AC于H,设OD=
,∵
∽
,∴
,
∴
, 解得:
,
,
∵
,且
,
,
,
∴
, ∵
,
=
-
,
∴
=
(
-
),
整理得:
, 解得:
或
,
经检验:
是分式方程的根,且符合题意,∴
.

版权声明
声明:有的资源均来自网络转载,版权归原作者所有,如有侵犯到您的权益
请联系本站我们将配合处理!
