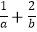
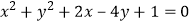
若圆<img alt="1" src="/tk/20210512/1620752442473.png"/>上的任意一点关于直线<img alt
若圆
上的任意一点关于直线
的对称点仍在圆上,则
最小值为( )
A.
B.
C.
D.
C
【解析】圆
上的任意一点关于直线
的对称点仍在圆上,则直线
过圆心
, 即
,
, 故选C.
【考点精析】本题主要考查了基本不等式的相关知识点,需要掌握基本不等式:
,(当且仅当
时取到等号);变形公式:
才能正确解答此题.
版权声明
声明:有的资源均来自网络转载,版权归原作者所有,如有侵犯到您的权益
请联系本站我们将配合处理!
下一篇 :返回列表
