如图程序框图,若输入 <img alt="1" src="/tk/20210512/1620752340695.png"/> ,输出的 <im
如图程序框图,若输入
,输出的
,则判断框内应填的条件为( )

A.
<1
B.
<0.5
C.
<0.2
D.
<0.1
B
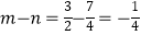
【解析】当第一次执行,
返回,第二次执行
,返回,第三次,
,要输出x,故满足判断框,此时
,
故答案为:B.本题主要考查程序框图中算法与程序语言的应用,根据程序框图按照箭头的方向和数量即可求出空白的条件。
版权声明
声明:有的资源均来自网络转载,版权归原作者所有,如有侵犯到您的权益
请联系本站我们将配合处理!
