已知数列{an}的前n项和为Sn , 且Sn=2an﹣2.
(1)求数列{an}的通项公式;
(2)设bn=log2a1+log2a2+…+log2an , 求(n﹣8)bn≥nk对任意n∈N*恒成立的实数k的取值范围.
【答案】解:(1)由Sn=2an﹣2,
当n=1时,求得:a1=2,
当n≥2时,an=Sn﹣Sn﹣1=2an﹣2an﹣1 ,
所以:
(常数),
所以:数列{an}是以a1=2为首项,2为公比的等比数列.
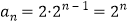
所以:
.
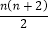
(2)已知:bn=log2a1+log2a2+…+log2an ,
=1+2+3+…+n=
,
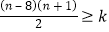
由于(n﹣8)bn≥nk对任意n∈N*恒成立,
所以
对任意的n∈N+恒成立.
设cn=
,则当n=3或4时,cn取最小值为﹣10.
所以:k≤﹣10
【解析】(1)首先利用递推关系式求出数列是等比数列,进一步求出数列的通项公式.
(2)利用(1)的通项公式求出数列的和,进一步利用恒成立问题求出参数的取值范围.
【考点精析】通过灵活运用数列的前n项和和数列的通项公式,掌握数列{an}的前n项和sn与通项an的关系
;如果数列an的第n项与n之间的关系可以用一个公式表示,那么这个公式就叫这个数列的通项公式即可以解答此题.
版权声明
声明:有的资源均来自网络转载,版权归原作者所有,如有侵犯到您的权益
请联系本站我们将配合处理!
