运行如图所示的程序框图,若输出的S是254,则①应为( )

A.
B.
C.
D.
C
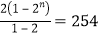
【解析】由程序框图算法可知,
,由于输出S=254,即
,解得n=7,故①应为“
”,故选C
【考点精析】解答此题的关键在于理解程序框图的相关知识,掌握程序框图又称流程图,是一种用规定的图形、指向线及文字说明来准确、直观地表示算法的图形;一个程序框图包括以下几部分:表示相应操作的程序框;带箭头的流程线;程序框外必要文字说明.
版权声明
声明:有的资源均来自网络转载,版权归原作者所有,如有侵犯到您的权益
请联系本站我们将配合处理!
