已知直线<img alt="1" src="/tk/20210512/1620752842124.png"/>过点<img alt="
已知直线
过点
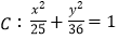
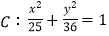
,椭圆
,则直线
与椭圆
的交点个数为

A. 1
B. 1或2
C. 2
D. 0
【答案】C
【解析】由点
在椭圆
的内部,可得直线与椭圆相交.
点
在椭圆
的内部,
而直线
过点
,
直线与椭圆相交,交点个数为2,故选C.
版权声明
声明:有的资源均来自网络转载,版权归原作者所有,如有侵犯到您的权益
请联系本站我们将配合处理!
