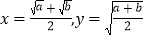
设<img alt="1" src="/tk/20210512/1620752167568.png"/>是不相等的正数,<img alt=&q
设
是不相等的正数,
,则
的大小关系是___.(用“
”连接)

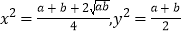
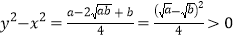
由于
为不相等的正数,
,
,所以
.
版权声明
声明:有的资源均来自网络转载,版权归原作者所有,如有侵犯到您的权益
请联系本站我们将配合处理!
设
是不相等的正数,
,则
的大小关系是___.(用“
”连接)

由于
为不相等的正数,
,
,所以
.
声明:有的资源均来自网络转载,版权归原作者所有,如有侵犯到您的权益
请联系本站我们将配合处理!