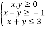
设P是不等式组<img alt="1" src="/tk/20210512/1620751870390.png"/>表示的平面区域内的任意一点,向量
设P是不等式组
表示的平面区域内的任意一点,向量
=(1,1),
=(2,1),若
=λ
+μ
, 则2λ+μ的最大值为______
5
【解析】∵向量
=(1,1),
=(2,1),且
=λ
+μ
,
∴P(x,y)满足
, 代入不等式组
作出不等式组
表示的平面区域,
得到如图的四边形OABC及其内部,
其中A(﹣3,3),B(3,﹣1),C(2,﹣1),O为坐标原点
设z=F(λ,μ)=2λ+μ,将直线l:z=2λ+μ进行平移,
可得当l经过点B时,目标函数z达到最大值
∴z最大值=F(3,﹣1)=2×3+(﹣1)=5
所以答案是:5
版权声明
声明:有的资源均来自网络转载,版权归原作者所有,如有侵犯到您的权益
请联系本站我们将配合处理!
