椭圆C的中心在坐标原点,焦点在x轴上,该椭圆经过点P(1,<img alt="1" src="/tk/20210512/1620750835995.png"
椭圆C的中心在坐标原点,焦点在x轴上,该椭圆经过点P(1,
)且离心率为
.
(1)求椭圆C的标准方程;
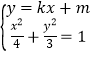
(2)若直线l:y=kx+m与椭圆C相交A,B两点(A,B不是左右顶点),且以AB为直径的圆过椭圆C的右顶点,求证:直线l过定点,并求出该定点的坐标.
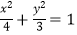
【答案】解:(1)椭圆的标准方程为
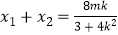
(2)设A(x1 , y1),B(x2 , y2),
得:(3+4k2)x2+8kmx+4(m2﹣3)=0,
∵△>0,∴3+4k2﹣m2>0,

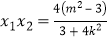
∴
∵以AB为直径的圆过椭圆C的右顶点,∴kAD•kBD=﹣1,
∴y1y2+x1x2﹣2(x1+x2)+4=0,∴7m2+16mk+4k2=0,
∴m1=﹣2k,m2=-
k,且均满足3+4k2﹣m2>0,
当m1=﹣2k时,l的方程为y=k(x﹣2),则直线过定点(2,0)与已知矛盾
当m1=-
k时,l的方程为y=k(x-),则直线过定点(
,0)
∴直线l过定点,定点坐标为(
,0)
(1)根据椭圆的方程和简单几何性质,使用待定系数法即可;
(2)要证明直线系y=kx+m过定点,就要找到其中的参数k,m之间的关系,把双参数化为但参数问题解决,这只要根据直线l:y=kx+m与椭圆C相交A,B两点(A,B不是左右顶点),且以AB为直径的圆过椭圆C的右顶点即可,这个问题等价于椭圆的右顶点与A,B的张角是直角.
【考点精析】认真审题,首先需要了解椭圆的标准方程(椭圆标准方程焦点在x轴:
,焦点在y轴:
).
版权声明
声明:有的资源均来自网络转载,版权归原作者所有,如有侵犯到您的权益
请联系本站我们将配合处理!
