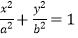
已知椭圆C:<img alt="1" src="/tk/20210512/1620750839765.png"/>(a>b>0)上的左、右顶点分别为
已知椭圆C:
(a>b>0)上的左、右顶点分别为A,B,F1为左焦点,且|AF1|=2,又椭圆C过点(0,2
).
(Ⅰ)求椭圆C的方程;
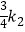
(Ⅱ)点P和Q分别在椭圆C和圆x2+y2=16上(点A,B除外),设直线PB,QB的斜率分别为k1 , k2 , 若k1=
, 证明:A,P,Q三点共线.
解:(Ⅰ)由已知可得a﹣c=2,b=2
,又b2=a2﹣c2=12,
解得a=4.
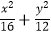
故所求椭圆C的方程为
=1.
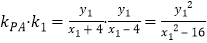
(Ⅱ)由(Ⅰ)知A(﹣4,0),B(4,0).设P(x1 , y1),Q(x2 , y2),
∴
.
∵P(x1 , y1)在椭圆C上,
∴
,即
.
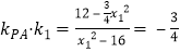
∴
.
又∵k1=
,
∴kPAk2=﹣1.①
由已知点Q(x2 , y2)在圆x2+y2=16上,AB为圆的直径,
∴QA⊥QB.
∴kQA•k2=﹣1.②
由①②可得kPA=kQA .
∵直线PA,QA有共同点A,
∴A,P,Q三点共线.
【解析】(Ⅰ)由已知可得a﹣c=2,b=2
, 又b2=a2﹣c2 , 解出即可得出.
(Ⅱ)由(Ⅰ)知A(﹣4,0),B(4,0).设P(x1 , y1),Q(x2 , y2),利用斜率计算公式、P(x1 , y1)在椭圆C上,可得kPA•k1 , 又k1=
,
可得kPAk2 . 由已知点Q(x2 , y2)在圆x2+y2=16上,AB为圆的直径,可得kQA•k2=﹣1.只要证明kPA=kQA即可.
版权声明
声明:有的资源均来自网络转载,版权归原作者所有,如有侵犯到您的权益
请联系本站我们将配合处理!
