图甲为小型交流发电机的示意图,在匀强磁场中,矩形金属线圈绕与磁场方向垂直的轴匀速转动,产生的电动势随时间变化的规律为图乙中的正弦曲线。已知发电机线圈的内阻为5Ω,外接灯泡的电阻为95Ω,其他电阻不计,
图甲为小型交流发电机的示意图,在匀强磁场中,矩形金属线圈绕与磁场方向垂直的轴匀速转动,产生的电动势随时间变化的规律为图乙中的正弦曲线。已知发电机线圈的内阻为5Ω,外接灯泡的电阻为95Ω,其他电阻不计,则

A. t=0.005s时穿过线圈的磁通量最大
B. 1s内线圈中的电流方向改变50次
C. 灯泡两端的电压为19V
D. 0~0.01s内通过灯泡的电荷量为零
【答案】C
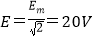
【解析】由图象乙可知t=0.005s时感应电动势最大,穿过线圈的磁通量为零,故A错误;由题图乙可知周期T=0.02s,线框每转一周,电流方向改变两次,每秒电流方向改变100次,故B错误;由题图乙可知交流电电动势的最大值是Em=20
V,有效值为:
,根据闭合电路的分压特点得电灯两端的电压为:U=
E=
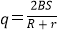
V=19V;故C正确;根据q=
得:0~0.01s时间内通过灯泡的电量为
;
;代入数据联立得:q=
C,故D错误;故选C。
版权声明
声明:有的资源均来自网络转载,版权归原作者所有,如有侵犯到您的权益
请联系本站我们将配合处理!
