下图所示的实验装置验证m1、m2组成的系统机械能守恒.m2从高处由静止开始下落,m1上拖着的纸带打出一系列的点,对纸带上的点迹进行测量,即可验证机械能守恒定律.如图给出的是实验中获取的一条纸带:0是打
下图所示的实验装置验证m1、m2组成的系统机械能守恒.m2从高处由静止开始下落,m1上拖着的纸带打出一系列的点,对纸带上的点迹进行测量,即可验证机械能守恒定律.如图给出的是实验中获取的一条纸带:0是打下的第一个点,每相邻两计数点间还有4个点(图中未标出),计数点间的距离如图所示.已知m1=50 g、m2=150 g,则(结果均保留两位有效数字)

(1)在纸带上打下计数点5时的速度v=______m/s;
(2)在打下第“0”到打下第“5”点的过程中系统动能的增量ΔEk=________ J,系统势能的减少量ΔEp=______J;(取当地的重力加速度g=10 m/s2)
(3)若某同学作出
v2-h图象如图所示,则当地的重力加速度g=________m/s2.
(1)2.4 m/s;(2)ΔEk=0.58 J;ΔEp=0.60 J; (3)g=9.7 m/s2。
【解析】(1)根据在匀变速直线运动中时间中点的瞬时速度大小等于该过程中的平均速度,可知打第5个点时的速度为:
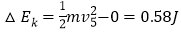
(2)物体的初速度为零,所以动能的增加量为:
;
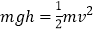
重力势能的减小量等于物体重力做功,故:△EP=W=mgh=0.60J;
由此可知动能的增加量和势能的减小量基本相等,因此在在误差允许的范围内,m1、m2组成的系统机械能守恒.
(3)本题中根据机械能守恒可知,
,即有:
v2=gh,所以
v2-h图象中图象的斜率表示重力加速度,由图可知,斜率k=9.7,故当地的实际重力加速度g=9.7m/s2.
版权声明
声明:有的资源均来自网络转载,版权归原作者所有,如有侵犯到您的权益
请联系本站我们将配合处理!
