如图所示,一理想变压器的原线圈A、B两端接入电压为<img alt="1" src="/tk/20210511/1620711066727.png"/&g
如图所示,一理想变压器的原线圈A、B两端接入电压为
的交变电流.原线圈匝数n=1100匝,副线圈匝数n1=60匝,副线圈匝数n2=550匝,C、D之间接一电容器,E、F之间接一灯泡,都能正常工作.则

A. 该交流电的频率为50Hz
B. 副线圈中磁通量变化率的最大值为
C. 该电容器的耐压值为12V
D. 该灯泡的额定电压为110V
【答案】ABD
【解析】根据
求解交流电的频率;根据法拉第电磁感应定律求解原副线圈的磁通量的最大值;根据变压器原副线圈的电压比等于匝数比求解次级电压;注意电容器的耐压值等于最大值,灯泡的额定电压等于有效值.
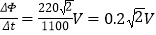
A.该交流电的频率为
,选项A正确;
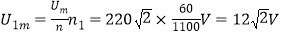
B.根据
,则
,原副线圈磁通量的变化率相同,可知副线圈中磁通量变化率的最大值为0.2
V,选项B正确;
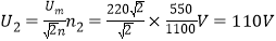
C.
,则该电容器的耐压值为12
V,选项C错误;
D.
,即该灯泡的额定电压为110V,选项D正确;
故选ABD.
版权声明
声明:有的资源均来自网络转载,版权归原作者所有,如有侵犯到您的权益
请联系本站我们将配合处理!
