在如图所示的平面直角坐标系内,x轴水平、y轴竖直向下。计时开始时,位于原点处的沙漏由静止出发,以加速度a沿x轴匀加速度运动,此过程中沙从沙漏中漏出,每隔相等的时间漏出相同质量的沙。已知重力加速度为g,
在如图所示的平面直角坐标系内,x轴水平、y轴竖直向下。计时开始时,位于原点处的沙漏由静止出发,以加速度a沿x轴匀加速度运动,此过程中沙从沙漏中漏出,每隔相等的时间漏出相同质量的沙。已知重力加速度为g,不计空气阻力以及沙相对沙漏的初速度。

(1)求t0时刻漏出的沙在t(t> t0)时刻的位置坐标;
(2)t时刻空中的沙排成一条曲线,求该曲线方程。
【答案】 【解析】由题意可知,沙子漏出后水平方向做匀速直线运动,竖直方向做自由落体运动,根据运动学基本公式求出在(t﹣t0)时间内水平和竖直方向的位移即可求出位置坐标,联立方程,消去未知数t0,则t时刻所有沙构成的图线方程即可求出.
解:(1)由匀变速直线运动的规律,t0时刻漏出的沙具有水平初速度
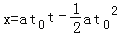
v0=at0
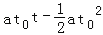
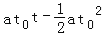
沙随沙漏一起匀加速的位移

接着沙平抛,t时刻位移
x1=v0(t﹣t0)
且x=x0+x1
y=
所以,t0时刻漏出的沙的坐标为:(
,
);
(2)联立方程
,y=
,消去未知数t0,则t时刻所有沙构成的图线满足方程
答:(1)t0时刻漏出的沙在t(t>t0)时刻的位置坐标为:(
,
);
(2)该曲线方程为
.
版权声明
声明:有的资源均来自网络转载,版权归原作者所有,如有侵犯到您的权益
请联系本站我们将配合处理!
