向量<img alt="1" src="/tk/20210512/1620761661861.png"/>,<img alt="2&
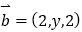
向量
,
,若
,且
,则x+y的值为( )
A.-3
B.1
C.-3或1
D.3或1
【答案】C
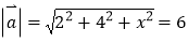
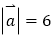
【解析】因为
,所以
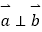
,又因为
,所以
,所以
,∴当x=4时,y=-3,当x=-4时,y=1,∴x+y=1或-3.
【考点精析】本题主要考查了数量积判断两个平面向量的垂直关系的相关知识点,需要掌握若平面
的法向量为
,平面
的法向量为
,要证
,只需证
,即证
;即:两平面垂直
两平面的法向量垂直才能正确解答此题.
版权声明
声明:有的资源均来自网络转载,版权归原作者所有,如有侵犯到您的权益
请联系本站我们将配合处理!
