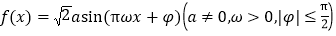
已知函数<img alt="1" src="/tk/20210512/1620761319913.png"/>,直线<img alt=&quo
已知函数
,直线
与
的图象的相邻两个交点的横坐标分别是
和
,现有如下命题:
①该函数在
上的值域是
;
②在
上,当且仅当
时函数取最大值;
③该函数的最小正周期可以是
;
④
的图象可能过原点.
其中的真命题有__________.(写出所有真命题的序号)
【答案】④
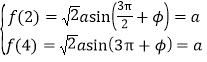
【解析】当
时,区间
没有意义,故①错误;该函数在
上,当
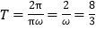
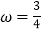
时函数取最小值,故②错误;由周期公式
,得
,此时
,由
,计算得出
,不满足
,可以知道该函数的最小正周期不可以是
,故③错误;由
,得
,即
时
的图象过原点,故④正确.∴正确命题的序号是④,故答案为④.
【 方法点睛】本题主要通过对多个命题真假的判断,主要综合考查三角函数函数的图象与性质,属于难题.这种题型综合性较强,也是高考的命题热点,同学们往往因为某一处知识点掌握不好而导致“全盘皆输”,因此做这类题目更要细心、多读题,尽量挖掘出题目中的隐含条件,另外,对存在性问题可以用特值法进行排除,还要注意从简单的自己已经掌握的知识点入手,然后集中精力突破较难的命题.
版权声明
声明:有的资源均来自网络转载,版权归原作者所有,如有侵犯到您的权益
请联系本站我们将配合处理!
