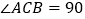
阅读理解:在以后你的学习中,我们会学习一个定理:直角三角形斜边上的中线等于斜边的一半,即:如图1,

在
中,
°,若点
是斜边
的中点,则
.
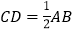
灵活应用:如图2,
中,
°,
,
,点
是
的中点,

将
沿
翻折得到
,连接
,
.
(1)求
的长:
(2)判断
的形状:
(3)请直接写出
的长.
(1)
;(2)直角三角形;(3)
(1)利用直角三角形斜边上的中线等于斜边的一半,即可得出答案;
(2)利用直角三角形斜边上的中线等于斜边的一半及线段中点定义,得到CD=DE=DB,再利用等腰三角形的性质及三角形内角和定理即可得出结论;
(3)连接BE交AD于O,作AH⊥BC于H.首先证明AD垂直平分线段BE,求出BE,在Rt△BCE中,利用勾股定理即可解决问题.
解:(1)
点
是
的终点,
为
的斜边,
.
(2)
是
的中点,

将
沿
翻折得到
,
,
,
,
在
中,
°,
,
°,
是直角三角形.
(3)如图连接BE交AD于O,作AH⊥BC于H.

在Rt△ABC中,∵AC=4,AB=3,
∴BC=5,
∵CD=DB,
∴AD=DC=DB=
,
∵
⋅BC⋅AH=
⋅AB⋅AC,
∴AH=
,
∵AE=AB,DE=DB=DC,
∴AD垂直平分线段BE,
∵
⋅AD⋅BO=
⋅BD⋅AH,
∴OB=
,
∴BE=2OB=
,
在Rt△BCE中,EC
.
版权声明
声明:有的资源均来自网络转载,版权归原作者所有,如有侵犯到您的权益
请联系本站我们将配合处理!
下一篇 :返回列表
