已知2(k-3)<<img alt="1" src="/tk/20210512/1620768445927.png"/>,求关于x的不等式&l
已知2(k-3)<
,求关于x的不等式
>x-k的解.
x<
先求出k的取值范围,再求出x的取值范围即可.
2(k-3)<
,
化简,得6k-18<10-k,解得k<4.
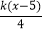
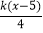
>x-k,
化简,得kx-5k>4x-4k,
∴(k-4)x>k,
∴x<
.
版权声明
声明:有的资源均来自网络转载,版权归原作者所有,如有侵犯到您的权益
请联系本站我们将配合处理!
