已知a,b∈R,i为虚数单位,若a+3i与2+bi在复平面内对应的点关于原点对称,则 <img alt="1" src="/tk/20210512/16207523
已知a,b∈R,i为虚数单位,若a+3i与2+bi在复平面内对应的点关于原点对称,则
等于( )
A.﹣ 
B.
C.
D.
A
【解析】解:∵a+3i与2+bi在复平面内对应的点关于原点对称,
∴a=﹣2,b=﹣3,
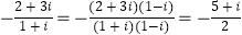
则
=
.
故选:A.
由题意求出a,b的值,代入
,再由复数代数形式的乘除运算化简得答案.
版权声明
声明:有的资源均来自网络转载,版权归原作者所有,如有侵犯到您的权益
请联系本站我们将配合处理!
