已知ai>0(i=1,2,…,n),考查
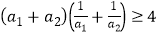
①
;
②
;
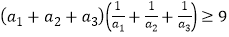
③
.
归纳出对a1 , a2 , …,an都成立的类似不等式,并用数学归纳法加以证明.
【答案】结论:(a1+a2+…+an)(
+
+…+
)≥n2
证明:①当n=1时,显然成立;
②假设当n=k时,不等式成立,
即:(a1+a2+…+ak)(
+
+…+
)≥k2
那么,当n=k+1时,
(a1+a2+…+ak+ak+1)(
+
+…+
+
)
=(a1+a2+…+ak)(
+
+…+
)+ak+1(
+
+…+
)+
(a1+a2+…+ak)+1
≥k2+(
+
)+(
+
)+…+(
+
)+1
≥k2+2k+1
=(k+1)2
即n=k+1时,不等式也成立.
由①②知,不等式对任意正整数n成立.
【解析】依题意可归纳出:(a1+a2+…+an)(
+
+…+
)≥n2;下面用数学归纳法证明:①当n=1时易证;②假设当n=k时,不等式成立,去证明当n=k+1时,不等式也成立即可,需注意归纳假设的利用与基本不等式的应用.
版权声明
声明:有的资源均来自网络转载,版权归原作者所有,如有侵犯到您的权益
请联系本站我们将配合处理!
