已知单调递增的等比数列{an}满足:a2+a3+a4=28,且a3+2是a2、a4的等差中项.
(Ⅰ)求数列{an}的通项公式;
(Ⅱ)若bn=anlog2an , Sn=b1+b2+…+bn , 求数列{bn}的前n项和Sn .
【答案】解:(Ⅰ)设等比数列{an}的首项为a1 , 公比为q,
∵a3+2是a2、a4的等差中项,
∴2(a3+2)=a2+a4 .
代入a2+a3+a4=28,得a3=8.
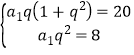
∴
,
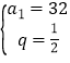
解之得:
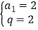
或
,
又∵{an}单调递增,
∴
,
∴an=2n .
(Ⅱ)由(1)知,bn=anlog2an=n•2n .
∴Sn=2+2×22+3×23+…+n•2n ,
2Sn=22+2×23+3×24+…+(n﹣1)•2n+n•2n+1 ,
∴﹣Sn=2+22+…+2n﹣n•2n+1=
﹣n•2n+1=(1﹣n)•2n+1﹣2,
∴Sn=(n﹣1)•2n+1+2.
【解析】(Ⅰ)设等比数列{an}的首项为a1 , 公比为q,由于a3+2是a2、a4的等差中项,可得2(a3+2)=a2+a4 . 代入a2+a3+a4=28,得a3 . 再利用等比数列的通项公式即可得出.
(II)由(1)知,bn=anlog2an=n•2n . 再利用“错位相减法”与等比数列的前n项和公式即可得出.
【考点精析】本题主要考查了数列的前n项和和数列的通项公式的相关知识点,需要掌握数列{an}的前n项和sn与通项an的关系
;如果数列an的第n项与n之间的关系可以用一个公式表示,那么这个公式就叫这个数列的通项公式才能正确解答此题.
版权声明
声明:有的资源均来自网络转载,版权归原作者所有,如有侵犯到您的权益
请联系本站我们将配合处理!
