已知各项不为0的等差数列{an}满足a4-2<img alt="1" src="/tk/20210512/1620752893778.png"/>+
已知各项不为0的等差数列{an}满足a4-2
+3a8=0,数列{bn}是等比数列,且b7=a7,则b3b8b10= ( )
A. 1 B. 8 C. 4 D. 2
【答案】B
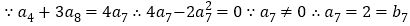
【解析】
,
选B.
版权声明
声明:有的资源均来自网络转载,版权归原作者所有,如有侵犯到您的权益
请联系本站我们将配合处理!
已知各项不为0的等差数列{an}满足a4-2
+3a8=0,数列{bn}是等比数列,且b7=a7,则b3b8b10= ( )
A. 1 B. 8 C. 4 D. 2
【答案】B
【解析】
,
选B.
声明:有的资源均来自网络转载,版权归原作者所有,如有侵犯到您的权益
请联系本站我们将配合处理!