已知函数f(x)=x﹣alnx(a∈R).
(Ⅰ)当a=2时,求曲线f(x)在x=1处的切线方程;
(Ⅱ)设函数h(x)=f(x)+
, 求函数h(x)的单调区间;
解:(Ⅰ)当a=2时,f(x)=x﹣2lnx,f(1)=1,切点(1,1),
∴
,∴k=f′(1)=1﹣2=﹣1,
∴曲线f(x)在点(1,1)处的切线方程为:y﹣1=﹣(x﹣1),即x+y﹣2=0.
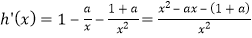
(Ⅱ)
,定义域为(0,+∞),
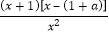
=
,
①当a+1>0,即a>﹣1时,令h′(x)>0,
∵x>0,∴x>1+a
令h′(x)<0,∵x>0,∴0<x<1+a.
②当a+1≤0,即a≤﹣1时,h′(x)>0恒成立,
综上:当a>﹣1时,h(x)在(0,a+1)上单调递减,在(a+1,+∞)上单调递增.
当a≤﹣1时,h(x)在(0,+∞)上单调递增.
【解析】(Ⅰ)求出切点(1,1),求出
, 然后求解斜率k,即可求解曲线f(x)在点(1,1)处的切线方程.
(Ⅱ)求出函数的定义域,函数的导函数,①a>﹣1时,②a≤﹣1时,分别求解函数的单调区间即可.
【考点精析】利用函数的最大(小)值与导数对题目进行判断即可得到答案,需要熟知求函数
在
上的最大值与最小值的步骤:(1)求函数
在
内的极值;(2)将函数
的各极值与端点处的函数值
,
比较,其中最大的是一个最大值,最小的是最小值.
版权声明
声明:有的资源均来自网络转载,版权归原作者所有,如有侵犯到您的权益
请联系本站我们将配合处理!
