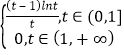
已知函数f(x)=
在x=e上取得极值,a,t∈R,且t>0.
(Ⅰ)求a的值;
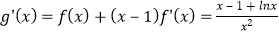
(Ⅱ)求函数g(x)=(x﹣1)•f(x)在(0,t]上的最小值;
(Ⅲ)证明:对任意的x1 , x2∈(
, +∞),且x1≠x2 , 都
<t.
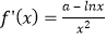
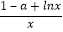
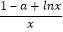
解:(Ⅰ)∵f(x)=
(x>0),
∴
.
∵函数f(x)在x=e上取得极值,
∴
,即a=1.
验证可知,a=1时,函数f(x)在x=e上取得极大值.
(Ⅱ)
,
则g′(1)=0,且x∈(0,1)时,g′(x)<0,x∈(1,+∞)时,g′(x)>0;
∴g(x)在(0,1)上单调递减,在(1,+∞)上单调递增.
∴当t∈(0,1]时,g(x)在(0,t]上单调递减,g(x)min=g(t)=
;
当t∈(1,+∞)时,g(x)在(0,1]上单调递减,在(1,t]上单调递增,g(x)min=g(1)=0
综上所述,g(x)min=
.
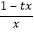
(Ⅲ)证明:构造函数h(x)=xf(x)﹣tx,x∈(0,+∞)
则h(x)=lnx﹣tx,h′(x)=
;
∴x∈(
,+∞)时,h′(x)<0,函数h(x)单调递减.
∵x1 , x2∈(
,+∞),且x1≠x2 ,
∴x1>x2时,h(x1)<h(x2),
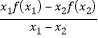
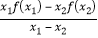
∴x1f(x1)﹣x2f(x2)<t(x1﹣x2),
即
;
同理,x1<x2时也成立.
所以,对任意的x1 , x2∈(
,+∞),且x1≠x2 , 都有
.
由极值与导数的关系求a;利用导数确定单调性,从而求最小值;构造函数h(x)=xf(x)﹣tx,x∈(0,+∞).
【考点精析】本题主要考查了利用导数研究函数的单调性和函数的极值与导数的相关知识点,需要掌握一般的,函数的单调性与其导数的正负有如下关系: 在某个区间
内,(1)如果
,那么函数
在这个区间单调递增;(2)如果
,那么函数
在这个区间单调递减;求函数
的极值的方法是:(1)如果在
附近的左侧
,右侧
,那么
是极大值(2)如果在
附近的左侧
,右侧
,那么
是极小值才能正确解答此题.
版权声明
声明:有的资源均来自网络转载,版权归原作者所有,如有侵犯到您的权益
请联系本站我们将配合处理!
